>     

>    rorbit:=2*alpha*2*(kr*i+1)^2/i^2:
torbit:=16*pi*alpha^(3/2)*(kr*i+1)^3/(i^(5/2)*(i+1)^(1/2)):
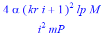
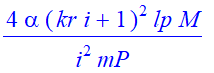
R:=rorbit*lp*M/mP:
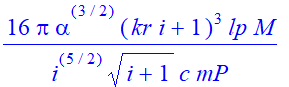
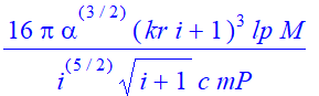
T:=torbit*lp*M/(c*mP): R;T;
5

4*alpha*(kr*i+1)^2/i^2*lp*M/mP

16*pi*alpha^(3/2)*(kr*i+1)^3/i^(5/2)/(i+1)^(1/2)*lp*M/c/mP

>    4*pi^2*R^3/(M*((i+1)/i)*T^2);

lp/mP*c^2

>    Digits:=16:
pi:=evalf(Pi):
alpha:=137.035999177:
M:=5.9722e24: m:=7.346e22:
Torbit:=27.321661*86400: lp:=.161604e-34: mP:=.217673e-7: c:=299792458: G:=lp*c^2/mP:
radius=(G*(M+m)*Torbit^2/(4*pi^2))^(1./3);

radius = 384714189.3001423

>    i:=M/m:  j:=i+1:
To:=Torbit*mP*c/(M*lp):
kr:=(1/i)*(To*i^(5/2)*j^(1/2)/(16*pi*alpha^(3/2)))^(1./3)-(1/i): kr;
rorbit:=2*alpha*2*(kr*i+1)^2/i^2:
torbit:=16*pi*alpha^(3/2)*(kr*i+1)^3/(i^(5/2)*(i+1)^(1/2)):
R:=rorbit*lp*M/mP:
T:=torbit*lp*M/(c*mP):
kr; rorbit; torbit; R; T;

12581.44152286467

86767346875.23080

.1596098381861054e18

384714189.3001419

2360591.510399988

>   

>   

>